![圖片[1]-FANUC如何設置全閉環?-機械資源網](http://www.58205.cn/wp-content/uploads/2025/11/20251105104643444-wxsync-2025-11-9f3850c6399ef793dc2c19b97dc10a05.png)
![圖片[2]-FANUC如何設置全閉環?-機械資源網](http://www.58205.cn/wp-content/uploads/2025/11/20251105104644319-wxsync-2025-11-fe3232de4db0423dd22bef251fe601c1.png)
二.選型
1.選型原則
根據直線尺/旋轉編碼器的信號類型,選擇對應型號的SDU單元
![圖片[3]-FANUC如何設置全閉環?-機械資源網](http://www.58205.cn/wp-content/uploads/2025/11/20251105104644406-wxsync-2025-11-f0a1b509c30ebf6cea226224257aa753.png)
2.SDU信號類型
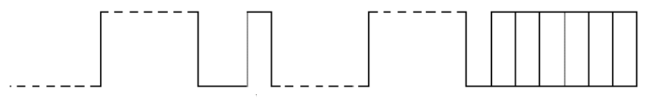
直線尺/旋轉編碼器的信號類型分為數字信號和模擬信號,數字信號包括串行信號和TTL信號,模擬信號指1VPP信號,它們的特點及波形如下:
串行信號:方波信號,串行發送
![圖片[4]-FANUC如何設置全閉環?-機械資源網](http://www.58205.cn/wp-content/uploads/2025/11/20251105104645926-wxsync-2025-11-e81c0dcb956c80234af218db2d1e56ce.png)
TTL信號:A,B相位方波信號,并行發送,且相差90度
![圖片[5]-FANUC如何設置全閉環?-機械資源網](http://www.58205.cn/wp-content/uploads/2025/11/20251105104645940-wxsync-2025-11-14c2e6067f3ee99d81ef046541c2c200.png)
1VPP信號:A,B相位正弦信號,并行發送,且相差90度,波形峰值為1V±0.2V
![圖片[6]-FANUC如何設置全閉環?-機械資源網](http://www.58205.cn/wp-content/uploads/2025/11/20251105104645398-wxsync-2025-11-fb3b189053057b6d6848c6b68636db10.png)
3.SDU選型
①數字信號(串行信號和TTL信號)大于4軸時,增加擴展單元
基本單元訂貨號:A02B-0323-C205
擴展單元訂貨號:A02B-0323-C204
②模擬信號(1VPP信號)
基本單元訂貨號:A02B-0323-C202
大于4軸時,直接增加基本單元
![圖片[7]-FANUC如何設置全閉環?-機械資源網](http://www.58205.cn/wp-content/uploads/2025/11/20251105104646115-wxsync-2025-11-d2bea70d151301e80354edce56b63cc4.png)
4.SDU信號引腳圖
![圖片[8]-FANUC如何設置全閉環?-機械資源網](http://www.58205.cn/wp-content/uploads/2025/11/20251105104646539-wxsync-2025-11-56bd232fc365e78aedd3ea6de626a8e2.png)
![圖片[9]-FANUC如何設置全閉環?-機械資源網](http://www.58205.cn/wp-content/uploads/2025/11/20251105104647235-wxsync-2025-11-f741d069939ec05d8c2c8b53613297fb.png)
![圖片[10]-FANUC如何設置全閉環?-機械資源網](http://www.58205.cn/wp-content/uploads/2025/11/20251105104648101-wxsync-2025-11-5dd925ccfb0a85a58ba6c2dea20dcc1b.png)
![圖片[11]-FANUC如何設置全閉環?-機械資源網](http://www.58205.cn/wp-content/uploads/2025/11/20251105104648372-wxsync-2025-11-ef4fbca1086eb0e67bb39680c712f0e6.png)
三.電氣硬件連接
常規立加且三個伺服軸均使用全閉環,接線如圖所示
![圖片[12]-FANUC如何設置全閉環?-機械資源網](http://www.58205.cn/wp-content/uploads/2025/11/20251105104649605-wxsync-2025-11-70988caf9c8fe565f2ff6fbe773573a2.png)
四.FSSB分配
1.FSSB設定
以常規立加,且3個伺服軸均使用全閉環為例,則FSSB參數設置如下表所示:
![圖片[13]-FANUC如何設置全閉環?-機械資源網](http://www.58205.cn/wp-content/uploads/2025/11/20251105104649398-wxsync-2025-11-67d851efead61c0f2c3762ebe422c3f5.png)
![圖片[14]-FANUC如何設置全閉環?-機械資源網](http://www.58205.cn/wp-content/uploads/2025/11/20251105104650608-wxsync-2025-11-eef98f1b22e86b3b3384e25dfe33c01e.png)
2.FSSB狀態確認
狀態確認:在“FSSB”連接狀態畫面下,成功識別到SDU模塊,如右圖所示。至此,全閉環FSSB設定完成,下一步應進行伺服相關參數的計算與設定。
![圖片[15]-FANUC如何設置全閉環?-機械資源網](http://www.58205.cn/wp-content/uploads/2025/11/20251105104651610-wxsync-2025-11-1dcbeb26a1b15f09ad91e2ea4f62025b.png)
五.應用案例
1.絕對式案例
特點:開機無需回零
應用案例
直線軸X軸,使用法格光柵尺G2AF50,絕對式,分辨率0.05um,電機和絲杠直聯,絲杠螺距10mm。
![圖片[16]-FANUC如何設置全閉環?-機械資源網](http://www.58205.cn/wp-content/uploads/2025/11/20251105104652622-wxsync-2025-11-e24470f8c8a2d190e44ce028fc977380.png)
2.增量式案例
特點:開機需回零(擋塊回零)
應用案例
轉臺B軸,使用雷尼紹圓光柵Si-0020,增量式,TTL信號,47200線(外置20倍頻),電機與轉臺減速比為1/180。
![圖片[17]-FANUC如何設置全閉環?-機械資源網](http://www.58205.cn/wp-content/uploads/2025/11/20251105104652110-wxsync-2025-11-2a2b2c7fe58e413ece16633f74ffa82f.png)
3.距離碼案例
特點:開機通過兩個連續的零參考點標記,就可以恢復機床的零點坐標
應用案例
轉臺B軸,使用法格旋轉編碼器H20-90000-D200-2,增量式,TTL,90000線,柵格距離20um,最大移動距離20mm,電機與轉臺減速比為4/2205。
![圖片[18]-FANUC如何設置全閉環?-機械資源網](http://www.58205.cn/wp-content/uploads/2025/11/20251105104653646-wxsync-2025-11-4ef42f7950de9a89fd3510b38b504cc3.png)
4.注意事項
4.1全閉環默認開啟半-全誤差監視功能,需要進行處理,有如下兩種處理方式:
(1)屏蔽該功能:2565#0=1,2118=0;
(2)使用該功能時,需對以下參數進行設置:
①2118:半-全誤差過大水平;
②2078,2079:變換系數(半閉環柔性齒輪比)。
注:如果不處理該功能,將出現報警“SV0417伺服非法DGTL參數”,診斷No.352=1183。
4.2常見報警及解決思路
(1)“SV0448反饋不一致”報警:可能是光柵尺安裝方向反了,修改2018#0=1;
(2)“SV0417 伺服非法DGTL參數”報警:
①診斷352=1183,全閉環默認開啟半-全誤差檢測功能,詳細情況參照上一頁;
②診斷352=6402,伺服軸伺服調增中的第五個濾波器不能設置。
(3)“SV0385串行數據錯誤(外置)”:系統和光柵尺之間的通訊不正確,可能的原因有:插頭引腳焊線有問題、光柵尺讀數頭安裝有問題、外部存在干擾、SDU模塊不匹配等等。
(4)“SV0445 軟斷線報警”:
①設定No.2003#1=1,以8的倍數增大2064的值;
②振動或者由振動引起的SV445報警:降低1825、2021數值,無效可適當降低2043;
③開啟雙位置反饋功能(選項):2019#7=1,2078/2079=半閉環柔性齒輪比,2118(根據實際情況調整)



























暫無評論內容